09:34 08/06/2023

Chủ đầu tư siêu dự án ở tứ giác Bến Thành lỗ đậm, nợ trái phiếu gần 10.000 tỷ đồng

Công ty TNHH Saigon Glory - chủ đầu tư siêu dự án One Central Saigon nằm trên khu đất tứ giác Bến Thành báo lỗ hơn 152,3 tỷ đồng trong khi cùng kỳ năm trước lãi gần 290,5 tỷ đồng. Với dư nợ trái phiếu gần 10.000 tỷ đồng, doanh nghiệp này phải trả hơn 1.100 tỷ đồng lãi trái phiếu trong năm qua.

Công ty TNHH Saigon Glory đã có văn bản báo cáo tình hình tài chính lên Sở Giao dịch Chứng khoán Hà Nội (HNX) với khoản lỗ hơn 152 tỷ đồng trong năm 2022, trong khi năm trước lãi hơn 290 tỷ đồng. Vốn chủ sở hữu giảm so với cùng kỳ, còn hơn 6.847 tỷ đồng.

Saigon Glory

Đáng chú ý, hệ số nợ phải trả/vốn chủ sở hữu của doanh nghiệp là 3,99 lần, nợ phải trả tương ứng với mức 27.321,5 tỷ đồng, tăng 4,6%. Hệ số nợ trái phiếu/vốn chủ sở hữu là 1,46 lần, tương ứng nợ trái phiếu của doanh nghiệp là 9.997,3 tỷ đồng. 

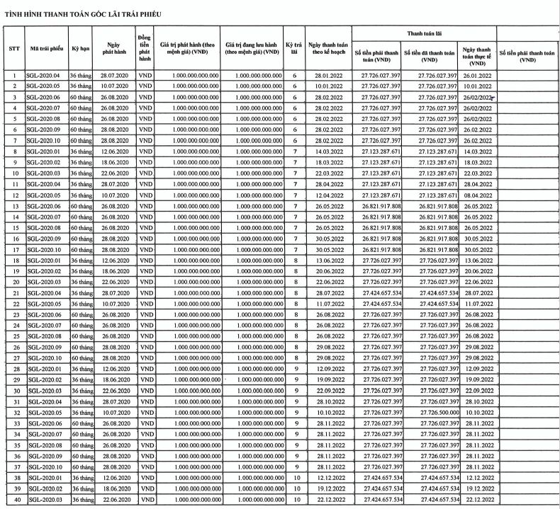
Theo dữ liệu từ HNX, Saigon Glory đang lưu hành 10 lô trái phiếu có mã thứ tự từ SGL-2020.01 đến SGL-2020.10 với tổng giá trị 10.000 tỷ đồng, do Công ty CP Chứng khoán Tân Việt (TSVI) tư vấn phát hành, đại lý lưu ký, đại lý thanh toán và đại diện người sở hữu.

Saigon Glory

Số trái phiếu này được Saigon Glory phát hành từ năm 2020, lãi suất năm đầu tiên 11%/năm. Từ năm thứ hai trở đi lãi suất áp dụng = tổng 4.5%/năm + lãi suất tham chiếu của kỳ tính lãi đó và không thấp hơn 11%. Trong đó, lãi suất tham chiếu là lãi suất tiền gửi tiết kiệm 12 tháng bằng VNĐ (trả lãi cuối kỳ) áp dụng cho khách hàng cá nhân do Ngân hàng TMCP Ngoại thương Việt Nam (sở giao dịch) công bố trước 11h sáng của ngày xác định lãi suất của kỳ tính lãi.

Tiền lãi được thanh toán định kỳ 3 tháng/lần. Các đợt trái phiếu này đáo hạn vào tháng 6-7/2023 và tháng 8/2025. 

Trong báo cáo thị trường trái phiếu năm 2022 triển vọng 2023 cập nhật ngày 13/2, Chứng khoán VNDirect cho biết Công ty TNHH Saigon Glory nằm trong top 3 doanh nghiệp bất động sản có giá trị đáo hạn cao nhất trong 2023 với giá trị khoảng 7.000 tỷ đồng.

Theo Báo cáo tình hình thanh toán gốc lãi năm 2022 đã công bố hồi cuối tháng 4, Saigon Glory đã thực hiện 40 đợt thanh toán lãi trái phiếu với tổng số tiền 1.100 tỷ đồng trong năm 2022. Trước đó, năm 2020, công ty này cũng chi tới 359,5 tỷ đồng để trả lãi cho trái chủ.

Saigon Glory

Hồi tháng 10/2022, sau vụ lùm xùm liên quan trái phiếu của một số doanh nghiệp của Vạn Thịnh Phát, Saigon Glory cam kết sẽ mua lại trước hạn toàn bộ 100 triệu trái phiếu với tổng mệnh giá phát hành là 10 nghìn tỷ đồng theo 2 giai đoạn.

Trong đó, việc mua lại thực hiện đối với các gói trái phiếu có mã thứ tự từ SGL-2020.01 đến SGL-2020.05, Saigon Glory cam kết sẽ mua lại trước hạn khi có thể nhưng không muộn hơn ngày 12/06/2023. Đối với các gói trái phiếu có thứ tự mã từ SG-2020.06 đến SGL-2020.10, Saigon Glory cam kết mua lại trước hạn ngay khi có thể nhưng không muộn hơn ngày 12/06/2024.

Được biết, Công ty TNHH Saigon Glory có vốn điều lệ 7.000 tỷ đồng do Công ty TNHH Tập đoàn Bitexco (Bitexco Group) nắm 100% vốn. Saigon Glory được thành lập năm 2018 với nhiệm vụ quản lý và phát triển các dự án của Bitexco. Hiện Saigon Glory là chủ đầu tư của siêu dự án The Spirit of Saigon (hay còn được gọi là Khu tứ giác Bến Thành).

Saigon Glory
Phối cảnh dự án Spirit of Saigon (Ảnh: Internet)

Cụ thể, Dự án The Spirit of Saigon có vị trí vô cùng đắc địa, với mặt tiền 4 đường: Phạm Ngũ Lão - Calmette - Lê Thị Hồng Gấm - Phó Đức Chính, giữa "trung tâm của trung tâm" quận 1 và gần những địa danh nổi tiếng như Bảo tàng Mỹ thuật, ga Bến Thành, Công viên 23/9. 

Đây là khu phức hợp trung tâm thương mại, văn phòng, căn hộ, siêu căn hộ, khách sạn 6 sao nằm trên tổng diện tích đất hơn 8.500m2 , thời hạn sử dụng 50 năm kể từ tháng 4/2013. Dự kiến khi hoàn thành vào năm 2024, dự án này sẽ cung cấp ra thị trường hơn 31.800m2 sàn bán lẻ, 17.300m2 sàn văn phòng cho thuê, khoảng 250 phòng khách sạn và 350 căn hộ. Các căn hộ có diện tích từ 90m2 – 275m2.

Dự án này được giao cho Tập đoàn Bitexco làm chủ đầu tư từ năm 2013, tuy nhiên rơi vào cảnh đình trệ nhiều năm sau đó. Tới tháng 7/2018, Bitexco thành lập công ty con Công ty TNHH Saigon Glory và chuyển dự án Spirit of Saigon về pháp nhân này. Tới giữa tháng 11/2018, Ngân hàng TMCP Sài Gòn (SCB) đã có văn bản cam kết tài trợ tín dụng cho dự án này. Đến ngày 14/10/2019, Spirit of Saigon chính thức được khởi công trở lại khi một nhà thầu danh tiếng thực hiện thi công phần thân dự án.

Đầu năm 2020, Sở Xây dựng TP.HCM có văn bản xác nhận cho 214 căn hộ thuộc dự án đủ điều kiện được bán, cho thuê mua nhà ở hình thành trong tương lai. Đến năm 2021, nhà thầu Newtecons "hồi sinh" tổ hợp này với tên gọi mới One Central Saigon như hiện tại. Viva Land là đơn vị phát triển dự án. Tuy nhiên hơn một năm nay, dự án này không có động thái triển khai gì mới.

Trung Anh