Doanh nghiệp - Doanh nhân

16:00 05/09/2022

Công ty cổ phần Sông Đà 4 chỉ đứng sau FLC trong danh sách nợ thuế, phí của TP.Hà Nội

Trong kỳ đăng công khai tháng 8, Cục Thuế TP. Hà Nội tiếp tục thực hiện công khai lần đầu nợ thuế đối với 348 người nộp thuế với tổng số nợ khó thu và khả năng thu gần 156 tỷ đồng.

Cục Thuế TP. Hà Nội vừa thực hiện công khai lần đầu nợ thuế của 348 người nộp thuế, với tổng số nợ khó thu và nợ có khả năng thu trên 155,8 tỷ đồng. Đồng thời, Cục Thuế TP. Hà Nội cũng công khai danh sách 160 người nộp thuế sau khi thực hiện công khai trong năm 2021 đến thời điểm rà soát đã nộp hết nợ vào ngân sách nhà nước.

Cụ thể, tại phụ lục 1, Cục Thuế TP. Hà Nội công khai danh sách 332 người nộp thuế nợ thuế, phí công khai lần đầu kỳ khóa sổ 30/6/2022, với số tiền trên 128,6 tỷ đồng.

Nhiều doanh nghiệp kinh doanh bất động sản xây dựng nợ thuế “khủng”
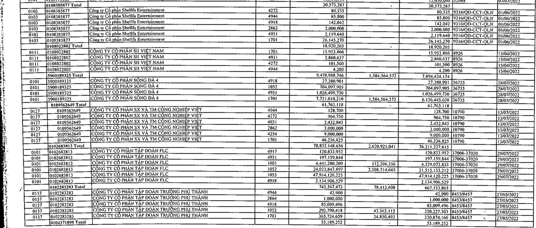
Danh sách nợ có khả năng thu Cục Thuế TP. Hà Nội vừa công khai

Tại phụ lục 2, Cục Thuế TP. Hà Nội công khai danh sách 5 người nộp thuế nợ nghĩa vụ liên quan đến đất công khai lần đầu kỳ khóa sổ 30/6/2022, với số tiền trên 26,8 tỷ đồng.

Tại phụ lục 3, Cục Thuế TP. Hà Nội công khai danh sách 11 người nộp thuế nợ khó thu công khai lần đầu kỳ khóa sổ 30/6/2022, với số tiền 343 triệu đồng.

Đồng thời tại phụ lục 4, Cục Thuế TP. Hà Nội công khai danh sách 160 người nộp thuế sau khi thực hiện công khai trong năm 2021 đã nộp hết nợ, với số tiền trên 48,9 tỷ đồng.

Theo danh sách nợ có khả năng thu Cục Thuế TP. Hà Nội vừa công khai, đứng đầu là Công ty cổ phần Tập đoàn FLC có số nợ khả năng thu tại kỳ khoá sổ 30/6 là 78,8 tỷ đồng; số tiền đã nộp đến ngày 24/8 là 2,6 tỷ đồng. Như vậy, số tiền nợ thuế tại kỳ khoá sổ 30/6 còn lại của tập đoàn này là 76,2 tỷ đồng.

Trong đó, khoản nợ lớn nhất là thuế thu nhập doanh nghiệp từ chuyển nhượng bất động sản gần 48 tỷ đồng; nợ thuế thu nhập doanh nghiệp từ hoạt động sản xuất kinh doanh 21,5 tỷ; nợ thuế thu nhập cá nhân thu nhập từ tiền lương và tiền công của người lao động là 4,3 tỷ đồng…

Tiếp đến, trong danh sách nợ thuế, phí công khai lần đầu được Cục Thuế TP. Hà Nội công bố, Công ty cổ phần Sông Đà 4 còn nợ gần 8 tỷ đồng; trong đó, nợ thuế giá trị gia tăng hàng sản xuất, kinh doanh trong nước hơn 6 tỷ; nợ tiền chậm nộp thuế giá trị gia tăng từ hàng hóa sản xuất kinh doanh trong nước khác còn lại 1 tỷ đồng…

Công ty cổ phần tư vấn phát triển xây dựng Sông Hồng nợ gần 2,3 tỷ đồng; Công ty TNHH xây dựng thương mại và dịch vụ Xuân Phú nợ 4,36 tỷ đồng; Công ty cổ phần Licogi 166 nợ hơn 1,1 tỷ đồng.

Tại danh sách các khoản nợ liên quan đến đất, Hợp tác xã Thắng Lợi mã số thuế 0100283672 nợ trên 15,1 tỷ đồng; Công ty CP Cơ điện vật tư nợ trên 1,7 tỷ đồng; Công ty CP đầu tư phát triển và thương mại Việt Tiến nợ trên 5,8 tỷ đồng; Công ty TNHH thương mại và công nghiệp Sao Bắc nợ trên 6,8 tỷ đồng; Công ty CP Xuất nhập khẩu tạp phẩm nợ khó thu trên 11,7 tỷ đồng.

Nhằm đảm bảo quyền lợi của người nộp thuế, đồng thời đảm bảo tính công bằng trong việc thực hiện nghĩa vụ thuế đối với Nhà nước, chống thất thu ngân sách nhà nước, Cục Thuế TP. Hà Nội cảnh báo các chủ dự án, doanh nghiệp sớm thu xếp được nguồn tài chính để nộp các khoản tiền thuế nợ vào NSNN theo đúng quy định trước khi Cơ quan thuế áp dụng các biện pháp quyết liệt hơn.

Anh Đào